Wages and inequalities in premodern Ukraine

This project is based on the census published by Juri Voloshyn. Olena Bastina, Ivan Sivakov, and Olena Lupalo helped me coding the data from the book to the final dataset (N = 1,110 domestic workers).

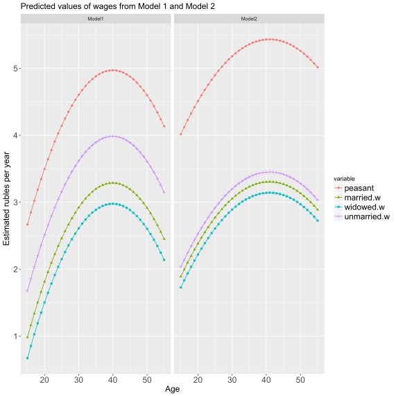
My current working paper investigates wage inequalities among domestic workers in early modern Poltava (present day Ukraine), which was an important military administrative center in Cossack Hetmanate – autonomy within the Russian Empire. The data are derived from Rumyantsev census conducted between 1765 and 1769.

After age of 29 wages of all domestic workers stagnated and after 45 wages declined significantly. In addition to this, Cossack origin gave a considerable advantage for male domestic workers when compared to peasantry. Although most women received considerably small wages, distribution of wages among female domestic workers was more equal when compared to male domestic workers; median wage of married women was close to median wage of peasant men; and young girls often received higher wages than young boys. These findings open a room for a debate about economic power of male and female workers in early modern Ukraine on the dawn of the Russian Empire centralisation.

Some preliminary results of my work were presented at “Economy and Society in Eastern & Central Europe: Workshop in Economic History and Development”, London.

Here you can see some of my data and r-scripts.

plot-rubles-by-agegini-by-gender

Figure10.jpeg

1 коментар

  1. Holly Abbott's avatar Holly Abbott коментує:

    Interestting read

    Подобається

Напиши коментар